Pada artikel sebelumnya kita sudah membahas mengenai apa itu algoritma naive bayes. Jika kamu belum mengenali apa itu algoritma naive bayes kita akan membahasanya sedikit dahulu sebelum masuk ke topik yang lebih mendalam.
Algoritma naive bayes adalah metode klasifikasi data berdasarkan faktor-faktor probabilitas. Algoritma ini merupakan pengklasifikasian dengan metode probabilitas dan statistik yang ditemukan oleh Thomas Bayes.

Nah, pada pembahasan ini kita akan lebih fokus kepada alur algoritma, rumus dan contoh perhitungan naive bayes.
Rumus dan Alur Algoritma Naive Bayes
Untuk bisa lebih memahami algoritma ini, berikut rumus umum Teorema Bayes yang menjadi dasar Naive bayes.

Keterangan.
X = Sampel data yang memiliki class (label) yang tidak diketahui.
C = Hipotesis bahwa X adalah data class (label).
P(C) = Probabilitas hipotesis C.
P(X) = Peluang dari data sampel yang diamati (probabilitas C).
P(X|C) = Probabilitas berdasarkan kondisi pada hipotesis.
Adapun alur dari metode naive bayes sebagai berikut.
- Menghitung nilai peluang kasus baru dari setiap hipotesa dengan class (label) yang ada di P(Ci).
- Menghitung nilai akumulasi peluang dari setiap kelas P(X|Ci).
- Menghitung nilai P(X|Ci) x P(Ci).
- Menentukan class dari kasus baru tersebut.
Namun jika atribut ke-i bersifat kontinu, maka P(Xi|C) diestimasi dengan fungsi densitas Gaussian.

Rumus Teorema Bayes diatas tadi menjelaskan bahwa peluang masuknya sampel karakteristik tertentu dalam class C (posterior) adalah peluang munculnya kelas C ( sebelum masuknya sampel tersebut, sering kali disebut prior), dikali dengan peluang kemunculan karakteristik-karakteristik sampel pada class C (disebut juga likelihood) kemudian dibagi dengan peluang kemunculan karakteristik sampel secara global (disebut juga evidence). Oleh karena itu rumus dapat pula ditulis sebagai berikut.

Nilai evidence selalu tetap untuk setiap class pada satu sampel. Nilai dari posterior tersebut nantinya akan dibandingkan dengan nilai posterior class lainnya untuk menentukan class apa suatu sampel akan diklasifikasikan.
Contoh Soal Data Diskrit
Berikut ini adalah contoh perhitungan naive bayes dengan menggunakan data diskrit.
Untuk menentukan suatu daerah akan dipilih sebagai lokasi untuk mendirikan perumahan dan telah dihimpun 10 aturan (data). Ada 4 atribut yang akan digunakan yaitu.
- Harga tanah per meter persegi (C1).
- Jarak daerah tersebut dari pusat kota (C2).
- Ada atau tidaknya angkutan umum di daerah tersebut (C3).
- Keputusan untuk memilih daerah tersebut sebagai lokasi perumahan (C4).
Dengan soal, suatu daerah dengan harga tanah mahal, jarak dari pusat kota sedang dan ada angkutan umum. Maka tentukan apakah daerah tersebut dipilih untuk mendirikan perumahan?
| Aturan ke- | Harga tanah (C1) | Jarak dari pusat kota (C2) | Ada angkutan umum (C3) | Dipilih untuk Perumahan (C4) |
|---|---|---|---|---|
| 1 | Murah | Dekat | Tidak | Iya |
| 2 | Sedang | Dekat | Tidak | Iya |
| 3 | Mahal | Dekat | Tidak | Iya |
| 4 | Mahal | Jauh | Tidak | Tidak |
| 5 | Mahal | Sedang | Tidak | Tidak |
| 6 | Sedang | Jauh | Ada | Tidak |
| 7 | Murah | Jauh | Ada | Tidak |
| 8 | Murah | Sedang | Tidak | Iya |
| 9 | Mahal | Jauh | Ada | Tidak |
| 10 | Sedang | Sedang | Ada | Iya |
Hal yang pertama kamu lakukan adalah mencari probabilitas kemunculan setiap nilai untuk atribut (class).
- Probabilitas kemunculan setiap nilai untuk atribut Harga tanah (C1).
| Harga tanah | Jumlah kejadian ‘dipilih’ Iya | Jumlah kejadian ‘dipilih’ Tidak | Probabilitas Iya | Probabilitas Tidak |
|---|---|---|---|---|
| Murah | 2 | 1 | 2/5 | 1/5 |
| Sedang | 2 | 1 | 2/5 | 1/5 |
| Mahal | 1 | 3 | 1/5 | 3/5 |
| Jumlah | 5 | 5 | 1 | 1 |
- Probabilitas kemunculan setiap nilai untuk atribut Jarak dari pusat kota (C2).
| Jarak dari pusat kota | Jumlah kejadian ‘dipilih’ Iya | Jumlah kejadian ‘dipilih’ Tidak | Probabilitas Iya | Probabilitas Tidak |
|---|---|---|---|---|
| Dekat | 3 | 0 | 3/5 | 0 |
| Sedang | 2 | 1 | 2/5 | 1/5 |
| Jauh | 0 | 4 | 0/5 | 4/5 |
| Jumlah | 5 | 5 | 1 | 1 |
- Probabilitas kemunculan setiap nilai untuk atribut Ada angkutan umum (C3).
| Ada angkutan umum | Jumlah kejadian ‘dipilih’ Iya | Jumlah kejadian ‘dipilih’ Tidak | Probabilitas Iya | Probabilitas Tidak |
|---|---|---|---|---|
| Ada | 1 | 3 | 1/5 | 3/5 |
| Tidak | 4 | 2 | 4/5 | 2/5 |
| Jumlah | 5 | 5 | 1 | 1 |
- Probabilitas kemunculan setiap nilai untuk atribut Dipilih untuk perumahan (C4).
| Dipilih untuk perumahan | Jumlah kejadian ‘dipilih’ Iya | Jumlah kejadian ‘dipilih’ Tidak | Probabilitas Iya | Probabilitas Tidak |
|---|---|---|---|---|
| Jumlah | 5 | 5 | 1/2 | 1/2 |
Berdasarkan data tersebut, apabila diketahui suatu daerah dengan harga tanah mahal, jarak dari pusat kota sedang dan ada angkutan umum, maka dapat dihitung:
Likelihood Iya = 1/5 * 2/5 * 1/5 * 5/10 = 1/125 = 0,008
Likelihood Tidak = 3/5 * 1/5 * 3/5 * 5/10 = 9/250 = 0,036
Nilai probabilitas dapat dihitung dengan melakukan normalisasi terhadap likelihood tersebut sehingga jumlah nilai yang diperoleh = 1.
Probabilitas Iya = 0,008 / (0,008+0,036) = 0,182
Probabilitas Tidak = 0,036 / (0,008+0,036) = 0,818
Jadi dapat disimpulkan dari hasil yang kita dapat diatas bahwa di lokasi tersebut tidak dibangun perumahan.
Contoh Data Kontinu
Berikut ini kita akan lanjut dengan contoh perhitungan naive bayes menggunakan data kontinu.
Contoh untuk data kontinu kita adaptasi dari soal sebelumnya. Apabila C1 = 300, C2 = 17, C3 = Tidak, maka tentunkan apakah lokasi akan di bangun perumahan?
| Aturan ke- | Harga tanah (C1) | Jarak dari pusat kota (C2) | Ada angkutan umum (C3) | Dipilih untuk Perumahan (C4) |
|---|---|---|---|---|
| 1 | 100 | 2 | Tidak | Iya |
| 2 | 200 | 1 | Tidak | Iya |
| 3 | 500 | 3 | Tidak | Iya |
| 4 | 600 | 20 | Tidak | Tidak |
| 5 | 550 | 8 | Tidak | Tidak |
| 6 | 250 | 25 | Ada | Tidak |
| 7 | 75 | 15 | Ada | Tidak |
| 8 | 80 | 10 | Tidak | Iya |
| 9 | 700 | 18 | Ada | Tidak |
| 10 | 180 | 8 | Ada | Iya |
Hal yang pertama kamu lakukan adalah mencari probabilitas kemunculan setiap nilai untuk atribut (class).
- Probabilitas kemunculan setiap nilai untuk atribut Harga tanah (C1).
| Iya | Tidak | |
|---|---|---|
| 1 | 100 | 600 |
| 2 | 200 | 550 |
| 3 | 500 | 250 |
| 4 | 80 | 75 |
| 5 | 180 | 700 |
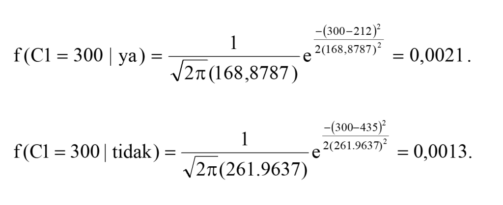
| Mean | 212 | 435 |
| Deviasi standar | 168,8787 | 261,9637 |
- Probabilitas kemunculan setiap nilai untuk atribut Jarak dari pusat kota (C2).
| Iya | Tidak | |
|---|---|---|
| 1 | 2 | 20 |
| 2 | 1 | 8 |
| 3 | 3 | 25 |
| 4 | 10 | 15 |
| 5 | 8 | 18 |
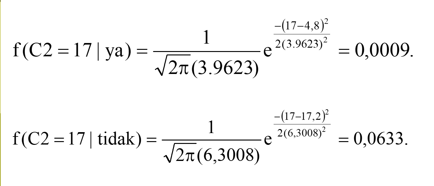
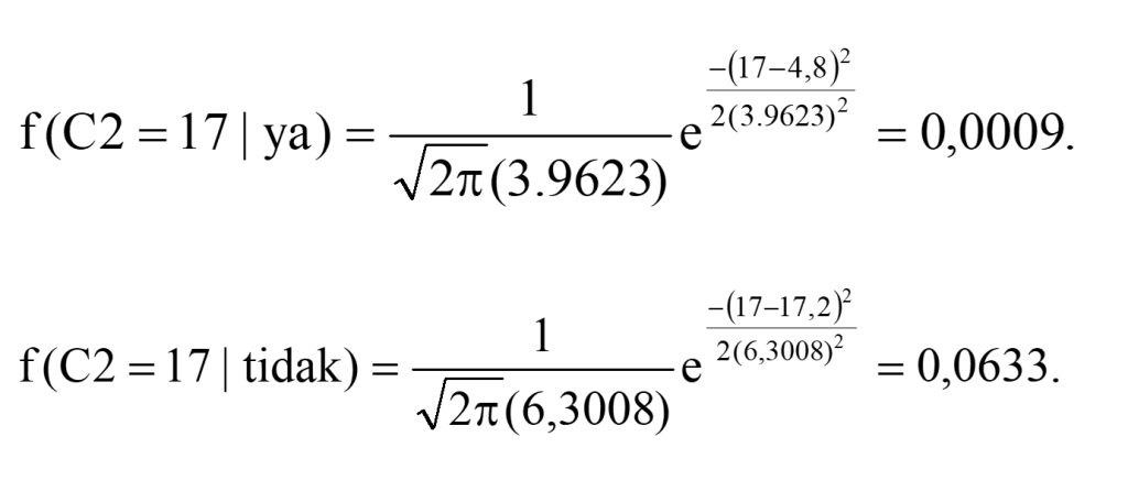
| Mean | 4,8 | 17,2 |
| Deviasi standar | 3,9623 | 6,3008 |
Untuk data yang diskrit kita ambil lansung nilainya dari tabel contoh soal perhitungan naive bayes dengan data diskrit supaya tidak berlama-lama. Berdasarkan hasil dari perhitungan dan soal tersebut, maka:

Ketika nilai C1 dan C2 sudah dapat dengan rumus Gaussian, jadi kita lanjut untuk mencari nilai likelihood.
Likelihood Iya = (0,0021) x (0,0009) x 4/5 x 5/10 = 0,000000756
Likelihood Tidak = (0,0013) x (0,0633) x 2/5 x 5/10 = 0,000016458
Nilai probabilitas dapat dihitung dengan melakukan normalisasi terhadap likelihood tersebut sehingga jumlah niali yang diperoleh = 1.
Probabilitas Iya = 0,000000756 / (0,000000756 + 0,000016458) = 0,0439
Probabilitas Tidak = 0,000016458 / (0,000000756 + 0,000016458) = 0,9561
Maka dari hasil akhir kita dapat menyimpulkan bahwa pada lokasi tersebut tidak dibangun perumahan.
Penutup
Nah, sekarang kamu sudah lebih paham mengenai algoritma naive bayes. Kamu sudah mengerti bagaimana alur dan proses perhitungan yang terjadi di algoritma naive bayes.
Untuk kamu yang tertarik seperti topik ini kamu bisa baca artikel lainya di Data Mining dan jangan lupa tulis di komentar ya topik apa yang akan dibahas untuk selanjutnya..
