Algoritma Backtracking adalah salah satu metode yang digunakan dalam pemrograman untuk mencari solusi dari suatu permasalahan yang kompleks.
Dalam artikel ini, kita akan belajar konsep dasar algoritma backtracking, langkah-langkah implementasinya, serta contoh kasus penerapannya.
Apa itu Algoritma Backtracking?
Algoritma Backtracking adalah sebuah pendekatan dalam pemrograman yang bertujuan untuk mencari solusi dari permasalahan dengan melakukan pencarian secara sistematis pada semua kemungkinan yang ada. Pencarian solusi dilakukan dengan melakukan langkah mundur (backtracking) dari satu langkah ke langkah sebelumnya jika tidak ditemukan solusi yang memadai. Algoritma ini sering digunakan dalam permasalahan yang membutuhkan pemilihan dari sejumlah opsi yang tersedia.
Pentingnya Algoritma Backtracking dalam Pemrograman
Algoritma Backtracking merupakan salah satu algoritma yang penting dalam pemrograman karena mampu menyelesaikan permasalahan yang sulit dengan efisien. Dalam beberapa kasus, algoritma ini dapat menjadi alternatif yang lebih baik dibandingkan dengan pendekatan brute force.
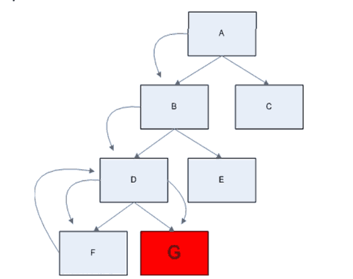
Prinsip Kerja Algoritma Backtracking

Adapun prinsip kerjanya adalah melibatkan eksplorasi secara sistematis melalui semua kemungkinan solusi yang mungkin. Pada setiap langkah, algoritma akan memilih satu opsi dari himpunan opsi yang tersedia, dan kemudian melakukan pemanggilan rekursif untuk langkah berikutnya. Jika langkah tersebut mengarah ke solusi yang valid, algoritma akan mencatat solusi tersebut. Namun, jika langkah tersebut mengarah ke jalan buntu, algoritma akan mundur ke langkah sebelumnya dan mencoba opsi lain yang belum dijelajahi.
Dengan menggunakan pendekatan ini, algoritma ini secara bertahap membangun solusi langkah demi langkah, memeriksa setiap kemungkinan sebelum membuat keputusan. Hal ini memungkinkan algoritma untuk menemukan solusi yang optimal atau menghasilkan semua solusi yang mungkin.
Langkah-langkah Algoritma Backtracking

Berikut adalah langkah-langkah yang harus diikuti:
- Pilih satu opsi dari sejumlah opsi yang tersedia
- Pemeriksaan apakah opsi tersebut mengarah ke solusi
- Jika opsi tersebut mengarah ke solusi, maka solusi ditemukan dan algoritma berhenti
- Jika opsi tersebut tidak mengarah ke solusi, maka algoritma melakukan backtracking ke langkah sebelumnya dan memilih opsi lain
- Langkah ini diulang-ulang sampai solusi ditemukan atau semua kemungkinan telah diuji.
Contoh Penggunaan Algoritma Backtracking
1. Sudoku Solver
Salah satu contoh penggunaan algoritma backtracking adalah dalam menyelesaikan game sudoku. Dalam game ini, terdapat sejumlah kotak yang harus diisi dengan angka dari 1 hingga 9. Namun, setiap angka harus berbeda pada setiap baris, kolom, dan kotak kecil yang sudah ditentukan.
Algoritma ini dapat digunakan untuk menyelesaikan game sudoku dengan mencoba angka-angka yang mungkin di setiap kotak. Jika angka yang dicoba tidak memenuhi kriteria, maka algoritma melakukan backtracking ke langkah sebelumnya dan mencoba angka lain.
2. Penyelesaian Masalah Rat in a Maze
Masalah rat in a maze adalah masalah yang biasa digunakan dalam pemrograman komputer untuk menguji algoritma backtracking. Dalam masalah ini, terdapat labirin dan seekor tikus yang berada di satu titik. Tujuan dari masalah ini adalah untuk menemukan jalur keluar dari labirin.
Algoritma ini dapat digunakan untuk menyelesaikan masalah rat in a maze dengan mencoba semua kemungkinan jalur dari titik awal hingga titik keluar. Jika jalur yang dicoba tidak mengarah ke titik keluar, maka algoritma melakukan backtracking ke langkah sebelumnya dan mencoba jalur lain.
3. Masalah 8 Queens
Masalah 8 Queens adalah masalah menempatkan 8 buah ratu (queens) pada papan catur berukuran 8×8 sedemikian rupa sehingga tidak ada dua ratu yang saling serang (berada dalam baris, kolom, atau diagonal yang sama). Algoritma ini dapat digunakan untuk mencari solusi dari masalah ini.
Langkah-langkah dalam menggunakan algoritma ini untuk masalah 8 Queens adalah sebagai berikut:
- Mulai dengan papan catur kosong.
- Letakkan sebuah ratu pada baris pertama pada kolom pertama.
- Cek apakah penempatan ratu tersebut valid.
- Jika valid, lanjutkan ke baris berikutnya dan letakkan ratu pada kolom yang tersedia.
- Ulangi langkah 3 dan 4 sampai semua ratu ditempatkan atau tidak ada pilihan yang tersisa.
- Jika semua ratu telah ditempatkan, solusi ditemukan.
- Jika tidak ada pilihan yang tersisa, mundur ke langkah sebelumnya dan coba pilihan lain.
Contoh penggunaan dalam masalah 8 Queens akan menghasilkan semua solusi yang mungkin untuk penempatan 8 ratu pada papan catur.
Kelebihan Algoritma Backtracking
- Penyelesaian semua kemungkinan: Algoritma ini secara sistematis menjelajahi semua kemungkinan solusi yang mungkin, sehingga memastikan bahwa tidak ada solusi yang terlewatkan.
- Fleksibilitas: Dapat diterapkan pada berbagai jenis permasalahan, termasuk yang melibatkan kombinatorik, optimisasi, dan pemrosesan struktur data kompleks.
- Efisien untuk permasalahan dengan solusi terbatas: Cocok digunakan ketika jumlah solusi yang mungkin terbatas, sehingga dapat menghindari pemeriksaan yang tidak perlu.
Kekurangan Algoritma Backtracking
- Kompleksitas waktu: Pada kasus-kasus tertentu, dapat memiliki kompleksitas waktu yang tinggi, terutama ketika jumlah langkah dan kemungkinan solusi sangat besar.
- Penyusunan solusi yang tidak optimal: Tidak selalu menghasilkan solusi optimal, terutama jika tidak ada metode pruning yang diterapkan.
- Kelelahan memori: Implementasi algoritma ini menggunakan rekursi dapat memakan banyak memori jika struktur data yang digunakan tidak dioptimalkan.
Pemahaman tentang kelebihan dan kekurangan memungkinkan kita untuk menggunakan pendekatan ini dengan bijak dan mempertimbangkan alternatif jika diperlukan.
Kesimpulan
Pada pembelajaran kita di atas dapat kita simpulkan bahwa Algoritma backtracking merupakan teknik yang kuat dalam menyelesaikan masalah yang kompleks dengan mencoba semua kemungkinan solusi. Meskipun algoritma backtracking memiliki keuntungan dan kekurangan, tetapi dengan pemahaman yang baik dan implementasi yang tepat, algoritma ini dapat menjadi alat yang efektif dalam menemukan solusi optimal pada berbagai masalah.
Artikel ini merupakan bagian dari seri artikel belajar Algoritma dan jika ada ide topik yang mau kita bahas silahkan komen di bawah ya..